-
公共关系策划是根据组织环境设定关系目标,并围绕关系目标创意和制定公共关系方案的过程。通过公共关系策划可以增强组织形象塑造的目的性、计划性,有效调配关系资源,提高公共关系活动效率,确保关系目标顺利实现。
一、公共关系策划程序
通常应遵循以下几个步骤进行。
1、公共关系环境调研
公共关系环境调研是指对公共关系环境状况的资料采集、统计与分析过程。进行环境调研的主要作用是采集、统计公众对组织
1、1公共关系环境调研步骤
公共关系环境调研主要包括四个步骤:确定调研任务、制定调研方案、调研信息采集、调研结果分析。
确定调研任务主要是明确调研目的;制定调研方案主要涉及:调研时间、调研地点、调研课题、调研对象、调研方法、调研预算,还可包括调研分工、调研组织规定等内容;调研信息采集是围绕调研任务,根据调研方案进行的相关资料、数据的收集;调研结果分析是将采集的信息分类汇总、统计,而后根据定性、定量方法测算和评价出信息结论,并撰写出调研报告的过程。
1、2公共关系环境调研内容
根据策划分析需要,公共关系环境调研内容主要包括:组织内部形象调研、组织外部形象调研、组织资源调研三部分。
组织内部形象调研主要是采集组织内部各层级员工对组织实际形象评价与期望形象要求的相关信息和数据。其调研对象主要分:组织领导层、中级干部层与操作员工层三级代表。其调研课题着重包括:经营方针、经营政策、决策能力、计划能力、预算能力、信息通畅度、办公环境、生活环境、生产状况、技术优势、协同能力、财务状况、薪资福利、服务质量、发展前景等,并应认真听取、详细记录员工的意见和建议。
组织外部形象调研主要是采集组织外部各公众对组织实际形象评价与期望形象要求的相关信息数据。其调研对象主要分:各外部公众一定数量的设定代表。其调研课题着重包括:办公环境、生活环境、技术优势、品牌影响力、产品质量、包装形象、供货速度、服务态度、专业化水平、售后服务、信誉度、价格等,并应认真听取、详细记录外部公众的意见和建议。
组织实际形象的评价分析指标可以采用百分制,并通过计算平均值求得。见范表

组织资源调研是指针对公共关系活动开展所具备条件的调查、评价。其调研课题主要包括:组织的人才结构、生产设备、技术水平、产品性能、品牌知名度、设施设备、盈利能力、资本结构、创新能力等。同时,还包括国家政策、行业环境、竞争对手状况等课题。开展公共关系活动是为了不断提升组织在公众中的形象,缩小实际形象与期望形象的差距。但组织的资源是有限的,受客观条件约束,不可能在短期内就能达到公众期望的形象,本着实事求是的精神,组织应根据内部资源的实际情况,合理确定公共关系目标,有效选择公共关系手段,依靠公共关系阶段目标的实现逐步提升组织形象。
1、3公共关系调研方法
在长期的社会实践中,人们摸索、总结出的调研方法有很多种。组织需要根据调研任务,结合公众特点来选择实效的调研方法。常用的调研方法包括:访谈法、问卷法、抽样法、引证评价法。
访谈法是通过与公众交谈获取数据资料的一种直接、简单的调研方法。可以分为:家庭访谈、学校访谈、街头访谈;集体访谈、个人访谈;电话访谈、客座访谈;随机访谈、预约访谈等多种形式。访谈要求事先设计好访谈课题,选择好访谈对象,作好访谈记录。注意不要诱导被访谈者的观点、意见。
问卷法是采用笔答获取数据资料的一种书面的调研方法。可以分为:开放式问卷、封闭式问卷;现场问卷、信函问卷;问答式问卷、选择式问卷等多种形式。问卷法要求问题明确、具体,内容简练、易懂,表述清楚,格式规范,可计量。
抽样法是从总体调查对象中选取样本调研的方法,该方法是针对有代表性的样本进行分析,减少工作量、缩短调研期、节约调研经费。可以分为:随机抽样、机械抽样、分层抽样、成组抽样等形式。随机抽样是根据确立的样本数量,不按规则从总样中抽取样本的方法;机械抽样是将总样按一定顺序排列,按相等间隔抽取样本的方法;分层抽样是将总样按特征分类,然后从分类中随机抽取样本的方法;成组抽样是成组成群从总样中抽取样本的方法。抽样法要求确立样本的选取范围,考虑样本的差异性,把握好样本的数量,保证样本具有代表性。
引证评价法是对社会媒介传播组织形象的信息进行调查分析的方法。该方法主要是收集媒介对组织信息关注的重点范围、正面传播或负面传播、传播频率、传播区域、传播时段等数据、资料。(各调研方法可以组合使用)。
2、明确主题
依据环境调研分析结论,组织应确立公共关系活动的目的和内容,并根据公众的审美标准、情趣、文化风俗,紧扣活动的目的和内容提炼主题。提炼的主题可以是一句口号,也可以是一句陈述,总之要力求个性突出、形象生动、朴实真切、简洁鲜明、便于记忆、朗朗上口、吉祥喜庆,比如:电信公司公共关系活动主题“五湖四海、永结同心”。
3、设立目标
目标是指开展公共关系活动欲达到的效果和目的,也是评价公共关系活动成功与否的标准。可以分为总目标、阶段目标;共性目标、个性目标。
总目标通常是规划3年以上年限实现的长期目标,往往比较宏观,需要与组织的战略目标步调一致,比如:设立“打造地域知名品牌”等长期目标;阶段目标围绕总目标,通常是规划1年内或某个专题活动实现的短期目标,比较具体,往往服务组织各阶段的形象或销售目标,比如:设立“在区域内知名度提高25%、美誉度提高15%”或“让员工满意度提高到85%”等短期目标。
共性目标是针对公众共性特点制定的总体性目标,“树立良好公众形象”就属于共性目标;个性目标是针对公众个性设立的目标,比如:针对供应商、政府、金融机构开展专项公共关系活动制定的目标。
目标是行动的指南,公共关系各类目标都应具有可执行性、可调控性。
4、制定措施
措施是指达到目标采用的方法、手段。制定措施需要了解公众的特点、性情、文化背景、职业习惯、经济状况及各媒介的受众群体、覆盖面、传播速度、成本费用等内容,并根据这些内容来构思活动的主题和步骤。制定措施的关键点是要了解组织的资源配置,清楚公众的兴趣点。只有根据公众兴趣点制定的方案,才能增强活动的感染力,提高活动的效果。公众的兴趣点简概见表。
为了确保公共关系活动能有效的开展,各项措施需要依据各阶段目标制定,并可通过各阶段目标产生的效益来评价措施的效果。
5、预算经费
公共关系活动既要保证效果,又要考虑成本,这就对策划提出了较高的要求。为确保公共关系活动能顺利开展,组织应根据制定的措施来进行经费预算。按费用支出项,经费主要包括:直接费用、间接费用。直接费用是直接用于活动的各项费用,比如:现场布景、赞助、广告费、活动场地租赁费等;间接费用是支持活动开支的辅助费用,比如:劳务成本(工资、补贴、奖金等)、管理费(办公耗材、差旅费、水电、房租等)、设施材料费(器材、报刊、展览设施等)。
经费可以采取比率法、实额法、量入为出法来预算。比率法是按一定时期业务量或经营收益总额确立经费比例的一种方法,该方法比较呆板、缺乏灵活性;实额法,是根据策划活动实际开支额来测算经费额的一种方法,该方法比较积极,但不利于经费控制;量入为出法是根据组织财务状况来确立经费额的一种方法,该方法比较实际,但不易平衡调配。预算的经费最好能保留一定的弹性,以提高公共关系活动的执行力。
二、公共关系策划书格式
策划书的写作要求规范、主次清楚、题意明确。常规的策划书格式如下:
三、公共关系策划方案实施控制
公共关系策划方案报经领导层决策审批后,就可进入实施阶段。由于公共关系处于动态的环境之中,一套策划方案在执行过程中,很难完全符合、适应客观环境。并且,受执行能力、沟通障碍及新情况、新问题的影响,策划方案很容易偏离计划轨道。为此,组织需要对策划方案的实施全程进行跟踪,及时处理、协调突发事件,以确保公共关系活动顺畅开展。
四、策划方案实施原则
实施策划方案应遵循目标导向、整体协调、克服障碍、即时调整等原则。
1、目标导向原则
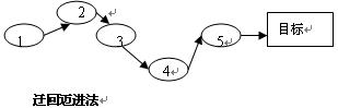
目标是组织开展公共关系活动的航标,偏离了航标实施过程就会出现偏差。为此,组织需要围绕目标,根据进度,利用引导、制约、促进等控制手段来保证整个实施过程按计划进行。目标导向是依据各阶段目标来控制方案实施效果的过程。在实施过程中,可以使用直线迈进法和迂回迈进法来贯彻目标导向的原则。当方案在实施过程中遇变化和阻碍的因素小,则各阶段目标就可以延直线一步步迈进,称“直线迈进法”。

当方案在实施过程中遇变化和阻碍的因素大,则需要调整步骤,通过迂回的路径来迈向目标,称“迂回迈进法”。
采用迂回迈进就需要增添目标、延长目标实现的时间,并需增加人力、财力成本。
2、整体协调原则
整体协调是指针对实施方案,使各个资源和步骤达到配合得当、互为补充、和谐统一的状态。通过协调,能提高资源的利用率,缓解组织与公众、公众与公众之间的矛盾,减少人力、财力、物力的浪费。常用的协调方式分为:纵向协调、横向协调。纵向协调是上下级之间的协调;横向协调是同级部门和个体之间的协调。协调可以通过信函、文件、座谈等形式进行意见交换,以达成共识、消除误解。协调的前提是信息通畅、透明、真实、意愿相同。
3、化解障碍原则
沟通障碍是妨碍目标实现的壁垒,公共关系方案的实施必须要善于化解障碍,减少摩擦,保证活动过程的连贯、畅通。在实践活动中,常见的沟通障碍主要包括:语言障碍、风俗障碍、观念障碍、心理障碍、组织障碍五个方面。
语言障碍主要指因语意表达不清、寓意差异或语音不通而造成的误解和隔阂。要求活动主体语意表达清楚,熟悉地方语言,积极采用公众乐意接受的方式进行交流,避免沟通受阻。
风俗是一定文化历史背景下沉淀的,地方固有的调节人际关系的人文环境或传统,它不受法律约束,但受到家族及社会群体的舆论、信奉和尊重。冒犯地方风俗必然会遭到排斥、受到冷落,甚至攻击。
观念是对事物的看法和观点。不同的生活环境、文化背景及人生经历便会形成不同的观念。观念的相近和共识是沟通顺畅的基础。为此,活动主体要深入了解公众的观念基调,合理进行公众分类,通过选择恰当的沟通话题,表明共同立场,有效规避观念障碍。
心理是指人的情感、感受、态度、情趣等意识形态,且能影响内心活动的因素。心理障碍在沟通过程显得尤为复杂,并且变化无常、难以捉摸,比如:一句话失言,就会引起误解;天气或环境气氛都能影响人的情绪;压抑状态的心情,就不愿意与人交往;言行与内心往往表现不一致等。在沟通中,活动主体应懂得揣摩公众的内心世界,善于察言观色,通过准确把握对方的心理活动,选择适当的沟通手段,达到共鸣的沟通效果。
组织障碍主要是因责权不清、信息不畅等内部机制不健全造成的内讧和矛盾。具体表现为机构臃肿、决策缓慢、信息失真、责任推委等。克服组织障碍的有效手段是:健全体制、明确责权、理顺关系、广集意见、加强交流、敢于创新、摆脱束缚、加快发展。
4、即时调整原则
即时调整是指根据方案实施过程中反馈信息,抓住时机进行措施调整的过程。调整主要是将计划目标同实际目标进行对照,评估求出偏差,并通过权衡分析,采取有效手段极力弥补偏差的过程。面对动态的关系环境,调整后的方案进入实施过程后,随环境的变化,仍然需要进行第二次、第三次的评估和调整。为此,调整是一个循环反复过程。
为了减少因实施的偏差对公共关系造成负面影响,策划方案可以采取预选测试的方式来进行评估。预选测试就是假定一个公共关系环境对预选方案将产生的效果进行测评。其步骤包括:选择测试环境、筛选测试对象、进行测试、测试评价四个阶段。测试方式应尽量强调环境、对象的代表性,避免产生测试误差,影响评价的公正性。测试完成后,测试结果须同预计结果对照,以求证须调整的范围。
作者介绍:辩证系统管理学派 创始人;2006中国十大企业培训师;从事管理研究10余年,曾担任多家大型集团企业管理顾问,已出版著作《现实性管理》、《工程建设企业系统管理》、《企业危机系统管理》、《超市辩证系统管理》《人生升级之道》,发表过数10篇管理论文,部分文章被收入《中国当代思想宝库》。2005年成立辩证系统管理学派,并在北京成功举办了学术记者招待会,是当代具有独到理论深度的经济管理专家。